TEORI DASAR AERODINAMIKA

Aerodinamika adalah ilmu yang mempelajari tentang udara yang mengalir, yang biasanya dikaitkan dengan udara di atmosfer. Dari kata dasarnya yaitu aero = udara serta dynamic = gaya gerak. Aerodinamika adalah cabang dari ilmu dinamika fluida dan dinamika gas yang mana adalah cabang dari mekanika fluida. Pada taraf tertentu, secara umum, ilmu ini akan dikaitkan dengan ilmu tentang pesawat terbang tentang desain dan operasinya.
Ilmu ini sangat penting dalam mendesain pesawat terbang, baik untuk perhitungan performa, manuver maupun aspek-aspek detail lainya. Sebagai contoh, pesawat DC-3, salah satu pesawat paling terkenal sepanjang masa dari tahun 1930, tanpa pengetahuan tentang aerodinamika kecepatan rendah, pesawat ini tidak akan pernah ada. Kemudian, pesawat Boeing 707 pada tahun 1950, tidak mungkin dapat di desain tanpa pengetahuan tentang aerodinamika pada kecepatan subsonic. Selanjutnya, Bell X-1 adalah pesawat yang pertama kali mencetak sejarah memecahkan rekor penerbangan melebihi kecepatan suara yang dipiloti oleh captain chuk yeager pada tahun 1947, desain pesawat ini syarat dengan pengetahuan aerodinamika transonic. Pada masa saat ini, desain pesawat yang hemat bahan bakar, tidak berisik, serta ramah lingkungan juga membutuhkan disiplin aerodinamika yang intensif, dan masih banyak lagi contoh-contoh yang menunjukkan pentingnya ilmu aerodinamika terhadap perkembangan ilmu penerbangan.
Adapun tujuan praktis utama dari ilmu aerodinamika antara lain :
1. Prediksi gaya dan moment, serta perpindahan kalor pada benda yang bergerak melalui suatu fluida (biasanya udara). Misalkan perhitungan Lift, drag serta thrust pada pesawat terbang, perhitungan gaya yang diderita oleh gedung-gedung yang terkena angin kencang, turbin angin dan masih banyak lagi. Hal tersebut disebut external aerodynamics.
2. Penentuan aliran melalui saluran tertutup. Seperti misalnya kecepatan, tekanan ataupun suhu aliran pada exhaust mesin jet, roket ataupun aliran di dalam wind tunnel. Hal tersebut disebut internal aerodynamics.
Dapat dikatakan bahwa aerodinamika adalah ilmu yang relatif kompleks, sehingga dalam artikel ini hanya akan disebutkan hal-hal yang mendasari aerodinamika secara umum, kemudian persamaan yang digunakan adalah integral, diferensial dan vektor maka disarankan untuk menguasai kalkulus dan matematika teknik terlebih dahulu sebelum mendalami cabang ilmu ini, namun tentu saja yang paling penting untuk memahami aerodinamika adalah konsep dan arti fisis dari persamaan itu sendiri. Adapun pada akhirnya, persamaan-persamaan yang kompleks tersebut akan diselesaikan dengan menggunakan komputer seperti computational fluid dynamics (CFD) dengan mudah, sehingga tidak perlu berkecil hati saat menemui kesulitan dalam mempelajari ilmu dasar aerodinamika.
Karena ilmu aerodinamika menggunakan alat berupa matematika untuk menjelaskan fenomena-fenomena yang terjadi, maka terdapat tiga hukum fisika utama yang berlaku pada ilmu aerodinamika, yaitu :
Karena bahasan aerodinamika adalah terkait dengan aliran fluida, maka hukum kekekalan massa disini berarti total massa yang masuk melalui suatu volume (misalkan pipa atau wadah) akan sama dengan total massa yang keluar melalui volume tersebut pada waktu yang sama. Adapun persamaan yang menunjukkan fenomena tersebut di sebut persamaan kontinuitas. Berikut adalah persamaan kontinuitas yang paling umum (ideal) :
Dengan t = waktu, ρ = massa jenis, V= volume, S = luas serta v= vektor kecepatan.
Karena pada kasus-kasus aerodinamika yang sering terjadi dilapangan adalah aliran tunak (steady), serta terjadi pada luas permukaan input dan output tertentu (misalkan pipa, atau wind tunnel), maka persamaan diatas dapat disederhanakan menjadi :
Dengan v = kecepatan, dan A = luas penampang lintang. Yang mana kedua sisi tersebut disebut mass flow rate, atau dengan kata lain mass flow rate udara masuk (1) akan sama dengan mass flow rateudara keluar (2).
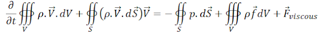
Hukum kekekalan momentum yang paling umum digunakan untuk kasus aliran fluida adalah hukum kedua newton, yaitu gaya adalah laju perubahan momentum, yaitu :
Dengan F= vektor gaya, m = massa, dan V = vektor kecepatan. Yangmana perkalian antara m.V adalah momentum. Kemudian hubungan diatas diturunkan kedalam bentuk dengan variabel-variabel aerodinamika yakni tekanan, massa jenis sebagai berikut :
Dengan t, ρ, V, p dan S memiliki definisi yang sama dengan sebelumnya. Bentuk diferensial dari persamaan momentum diatas juga dikenal sebagai persamaan Navier-stokes dalam ilmu mekanika fluida secara umum.
“Energi tidak dapat diciptakan maupun dimusnahkan, melainkan hanya dapat berubah ke bentuk lain” adalah bunyi hukum kekekalan energi secara umum. Adapun dalam aerodinamika, bentuk persamaan energi haruslah dalam bentuk variabel tekanan, kecepatan dan massa jenis sebagai berikut :
Dengan t, ρ, P, dan V memiliki definisi seperti sebelumnya, sedangkan e = energi dalam persatuan massa, q = kalor persatuan massa, Q = kalor yang diakibatkan karena efek viskositas, serta W = kerja yang dilakukan karena efek viskositas.
Kemudian terdapat teori-teori pendukung seperti vorticity dan circulation yang tidak dapat dibahas secara mendetail dalam artikel ini sebagai penyusun dasar teori aerodinamika (Sebagai gambaran, buku fundamentals of aerodynamics karangan John D. Anderson. Jr terdiri dari 1100 halaman untuk menjelaskan fenomena aerodinamika secara mendasar). Teori-teori diatas digunakan sebagai alat untuk menganalisa karakteristik airfoil, bentuk sayap hingga pesawat terbang secara utuh sehingga sangat penting untuk dipelajari sebelum mempelajari desain pesawat terbang secara umum. Berikut ini adalah rangkuman dari beberapa teori pendukung datas :
1. Vorticity
Pada dasarnya, vorticity adalah adalah tingkat gerakan rotasi pada aliran fluida. semakin besar vorticity semakin besar pula rotasi yang terjadi pada elemen fluida (bedakan dengan gerakan berputar secara kolektif). aliran dengan vorticity tidak sama dengan nol, disebut dengan rotational flow,sedangkan jika nilai vorticity adalah nol, maka disebut aliran irrotational. konsep rotational dan irrotational flow pada aliran sangat penting dalam teori aerodinamika. Secara matematis, vorticity adalah curl dari distribusi vektor kecepatan :
2. Circulation
Circulation secara bahasa adalah gerakan memutari suatu lintasan tertutup. secara matematis berarti integral “sirkulasi” dari vektor kecepatan melalui lintasan tertutup C, secara matematis :











