Perhitungan Single-Stage Flash
1. Pendahuluan
Single-stage flash distilator merupakan salah satu metode sederhana pemisahan campuran cairan multikomponen berdasarkan perbedaan volatilitas. Prinsipnya adalah sebagian cairan umpan diuapkan secara cepat (flash) pada kondisi tekanan dan temperatur tertentu, sehingga terbentuk dua fasa: uap (vapor) dan cairan (liquid) yang berada pada kondisi kesetimbangan. Proses ini banyak digunakan pada industri minyak, gas, dan petrokimia sebagai tahap awal pemisahan.
2. Prinsip Dasar
Pada single-stage flash distilator:
-
Umpan cair (feed) dengan laju alir F dipanaskan atau diturunkan tekanannya.
-
Umpan tersebut akan terpisah menjadi dua aliran:
-
Vapor (V) dengan fraksi mol komponen yi.
-
Liquid (L) dengan fraksi mol komponen xi.
-
-
Hubungan antara keduanya mengikuti kesetimbangan fasa:
di mana Kᵢ adalah koefisien kesetimbangan (rasio fugasitas komponen i pada fase uap dan cair).
3. Persamaan Neraca Massa
Tiga persamaan utama digunakan pada perhitungan flash distilator:
-
Neraca total

-
Neraca komponen
dengan zᵢ adalah fraksi mol komponen i dalam feed.
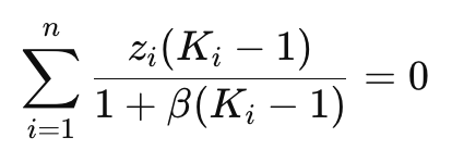
3. Kondisi kesetimbangan (Rachford-Rice equation)

dengan β = V/F adalah fraksi mol vapor.
4. Langkah Perhitungan
-
Tentukan kondisi operasi (T, P) yang memengaruhi nilai Kᵢ (dapat diperoleh dari korelasi empiris atau software termodinamika).
-
Hitung nilai β menggunakan persamaan Rachford-Rice.
-
Tentukan aliran V = βF dan L = (1-β)F.
-
Hitung komposisi fasa:
-
xᵢ = zᵢ / (1 + β(Kᵢ – 1))
-
yᵢ = Kᵢ xᵢ
-
5. Contoh Kasus Sederhana
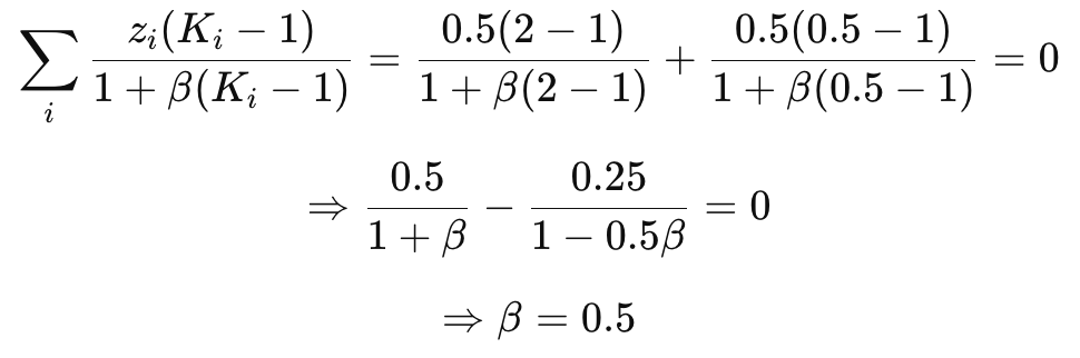
Misalkan feed 100 kmol/jam mengandung 50% n-heptane (A) dan 50% toluene (B) pada 1 atm. Diketahui pada kondisi operasi:
-
Kₐ = 2.0, Kᵦ = 0.5.
Maka:

Artinya, 50% feed menjadi vapor (V = 50 kmol/jam) dan 50% liquid (L = 50 kmol/jam).
Komposisi dihitung:
-
Fase cair:
-
xA
-
xB =
-
-
Fase uap:
-
yA = KA.xA
-
yB
-
Hasilnya, fase uap lebih kaya n-heptane (lebih volatil), sedangkan fase cair lebih kaya toluene.
Perhitungan single-stage flash distilator didasarkan pada neraca massa, neraca komponen, dan kesetimbangan uap-cair. Dengan metode ini, dapat diprediksi berapa banyak fraksi cair dan uap yang terbentuk serta komposisi masing-masing. Meskipun sederhana, metode ini sangat penting dalam perancangan awal unit distilasi industri dan sering digunakan sebagai perhitungan dasar dalam simulasi proses menggunakan software seperti HYSYS atau DWSIM.
Beberapa Solulsi Industri Petrokimia PT Tensor
Fluida
Struktur
Gambar
Proses





