Apa Itu Courant–Friedrichs–Lewy (CFL) Condition dalam CFD
Dalam Computational Fluid Dynamics (CFD), stabilitas perhitungan numerik merupakan salah satu faktor paling penting dalam keberhasilan simulasi. Banyak simulasi CFD gagal konvergen atau menghasilkan solusi yang tidak realistis karena pemilihan parameter numerik yang tidak tepat.
Salah satu konsep fundamental yang berkaitan dengan stabilitas numerik adalah CFL Condition atau Courant–Friedrichs–Lewy condition.
CFL condition menentukan hubungan antara ukuran mesh, kecepatan aliran, dan ukuran time step yang digunakan dalam simulasi CFD.
Konsep ini pertama kali diperkenalkan oleh Richard Courant, Kurt Friedrichs, dan Hans Lewy pada tahun 1928, dan sejak itu menjadi prinsip dasar dalam metode numerik untuk menyelesaikan persamaan diferensial parsial.
Intuisi Fisik di Balik CFL Condition
CFL condition dapat dipahami dengan konsep sederhana: informasi fisik dalam simulasi tidak boleh bergerak lebih jauh dari satu sel mesh dalam satu langkah waktu (time step).
Dalam simulasi CFD, domain dibagi menjadi banyak sel kecil (mesh). Ketika fluida mengalir, informasi seperti kecepatan, tekanan, atau temperatur akan berpindah dari satu sel ke sel lainnya.
Jika time step terlalu besar, informasi tersebut dapat “melompat” melewati beberapa sel sekaligus dalam satu iterasi waktu. Ketika hal ini terjadi, metode numerik kehilangan kemampuan untuk melacak transport informasi dengan benar.
Akibatnya, simulasi dapat menjadi:
-
tidak stabil
-
menghasilkan osilasi numerik
-
divergen
CFL condition memastikan bahwa perpindahan informasi dalam satu langkah waktu masih dapat ditangkap oleh mesh yang digunakan.
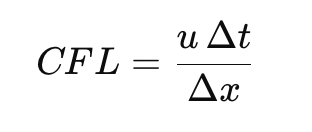
Definisi Bilangan CFL
CFL condition biasanya dinyatakan dalam bentuk bilangan Courant (Courant number).
Bilangan ini menunjukkan seberapa jauh fluida bergerak dalam satu langkah waktu relatif terhadap ukuran sel mesh.
Secara matematis, bilangan CFL dapat ditulis sebagai:
di mana:
-
uu adalah kecepatan aliran
-
Δt adalah ukuran time step
-
Δx adalah ukuran sel mesh
Nilai ini menunjukkan rasio antara jarak yang ditempuh fluida dalam satu time step terhadap ukuran sel mesh.
Interpretasi Nilai CFL
Nilai CFL memberikan informasi penting mengenai stabilitas simulasi.
Jika CFL kecil, berarti fluida bergerak hanya sebagian kecil dari ukuran sel dalam satu langkah waktu. Ini biasanya menghasilkan simulasi yang stabil.
Jika CFL mendekati satu, fluida bergerak kira-kira sejauh ukuran satu sel mesh dalam satu langkah waktu. Dalam banyak metode numerik, kondisi ini masih stabil.
Namun jika CFL jauh lebih besar dari satu, fluida bergerak melewati beberapa sel dalam satu langkah waktu. Hal ini biasanya menyebabkan instabilitas numerik.
Sebagai aturan praktis dalam banyak simulasi CFD:
-
CFL < 1 → umumnya stabil
-
CFL ≈ 1 → masih stabil untuk beberapa metode
-
CFL > 1 → berpotensi tidak stabil
Namun batas ini tidak selalu mutlak karena stabilitas juga bergantung pada metode diskritisasi yang digunakan.
CFL pada Simulasi Transien
Pada simulasi transient (time-dependent simulation), CFL condition sangat penting karena time step menentukan evolusi solusi dari waktu ke waktu.
Jika time step terlalu besar, solver dapat gagal mengikuti perkembangan aliran secara akurat.
Karena itu, banyak software CFD memungkinkan pengguna untuk mengatur maximum Courant number agar time step otomatis disesuaikan selama simulasi.
Sebagai contoh, pada simulasi aliran dengan kecepatan tinggi atau mesh yang sangat halus, time step harus dibuat lebih kecil agar CFL tetap berada dalam batas stabil.
CFL pada Simulasi Steady-State
Pada simulasi steady-state, CFL condition tidak selalu menjadi batas stabilitas yang ketat seperti pada simulasi transien.
Namun konsep CFL tetap digunakan sebagai indikator stabilitas iterasi.
Dalam beberapa solver steady-state, nilai CFL yang lebih besar justru digunakan untuk mempercepat konvergensi, selama solver tetap stabil.
Beberapa metode numerik bahkan menggunakan pseudo-time stepping, di mana CFL digunakan untuk mengontrol langkah iterasi menuju solusi steady.
Contoh dalam Software CFD
Pada banyak software CFD modern, CFL condition digunakan untuk mengontrol time step secara otomatis.
Sebagai contoh pada OpenFOAM, pengguna dapat mengatur batas maksimum Courant number dalam file kontrol simulasi.
Solver kemudian akan menyesuaikan ukuran time step selama simulasi agar nilai CFL tidak melebihi batas yang ditentukan.
Pendekatan ini membantu menjaga stabilitas simulasi tanpa harus menentukan time step secara manual.
Hubungan CFL dengan Mesh dan Kecepatan
CFL condition menunjukkan hubungan yang sangat penting antara tiga faktor utama dalam simulasi CFD:
-
ukuran mesh
-
kecepatan aliran
-
ukuran time step
Jika mesh diperkecil untuk meningkatkan resolusi simulasi, maka time step juga harus diperkecil agar CFL tetap berada dalam batas stabil.
Sebaliknya, jika kecepatan aliran meningkat, time step juga harus diperkecil untuk menjaga stabilitas.
Hal ini menjelaskan mengapa simulasi dengan mesh sangat halus atau kecepatan aliran tinggi sering membutuhkan time step yang sangat kecil, sehingga biaya komputasi meningkat.
Kesimpulan
CFL condition merupakan salah satu konsep paling fundamental dalam simulasi CFD yang berkaitan dengan stabilitas numerik.
Konsep ini menyatakan bahwa dalam satu langkah waktu, informasi fisik dalam simulasi tidak boleh bergerak lebih jauh dari ukuran sel mesh yang digunakan.
Bilangan CFL menghubungkan kecepatan aliran, ukuran mesh, dan time step, dan menjadi parameter penting dalam menentukan apakah simulasi akan stabil atau tidak.
Dengan memahami CFL condition, pengguna CFD dapat memilih parameter simulasi yang tepat sehingga menghasilkan perhitungan yang stabil, akurat, dan efisien secara komputasi.

