Compressible Flow
For high-speed gas fluid flow (more than 0.3 speed of sound), the gas density, which is assumed to be constant in some simple modeling, can change due to significant pressure variations.
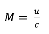
The speed of sound is characterized by the Mach number, M, defined as follows:
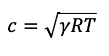
Where c is the speed of sound in the gas, which can be calculated using the equation:
With gamma is the gas specific heat ratio (CP/CV).
In CFD modeling, you only need to activate the non-constant fluid density, for instance, using the ideal gas equation or real gas equation to consider the compressible flow.
But, changing the non-constant density can make your solver sensitive to divergence because it involves temperature and pressure changes, making the solution much more complex.
The selection between pressure-based and density-based solvers will be discussed in the solver theory chapter, but essentially, compressible flows can be solved by both pressure-based and density-based solvers.
We must pay special attention to the compressible boundary conditions, which will be discussed in the chapter on boundary conditions.


