Fluid Flow Parameters
Pressure
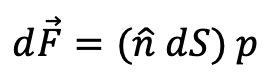
Pressure is defined as the force divided by the area perpendicular to the normal direction.
With F, n, A, and p are force vector, unit normal vector, surface area, and pressure, respectively.
By definition (in physics), this is the same as normal stress, but in engineering, we use pressure as the exerted load on a surface, while stress is the amount of force per area experienced by a material.
In a CFD solver like OpenFOAM, the pressure is often divided by the density to simplify the calculation.
Velocity
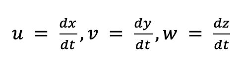
Like pressure, one of the major parameters to solve in fluid dynamics is velocity, which is the vector quantity defined by the rate of change of a particle’s position with respect to time.
And in the vector form can be defined as:
Viscosity
The major force acting on a fluid besides the pressure is the shear force, , which is defined by the properties of the fluid called viscosity defined with Newton’s law of viscosity; for Newtonian flow:
With is the kinematic viscosity of the fluid. The equation defines that shear force is proportional to the velocity gradient, has nine components (xx, yy, xx, xy, xz, etc.), and is often stated in the tensor form.
Temperature and heat transfers
Three major heat transfer methods are conduction, convection, and radiation, can be simulated using CFD simulation, which we will discuss in detail in the “heat transfer” chapter.
Following are the heat transfer equations:
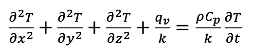
- Conduction (Fourier’s law):
With T, q, k, and Cp are temperature, heat generation per unit volume, material conductivity, and specific heat respectively.
- Convection (Newton’s law of cooling):
With h is (convection) heat transfer coefficient.
- Radiation (stefan-Boltzmann’s law):
With and are surface emissivity and Stefan-Boltzmann constant (5.67*10-8 W.m-2.K-4), respectively.












