Permodelan Population Balance Aliran Multifasa CFD
Dalam banyak sistem aliran multifasa, seperti aliran gelembung gas dalam cairan atau droplet dalam spray, ukuran partikel atau droplet dalam sistem biasanya tidak seragam. Selama proses berlangsung, partikel dapat mengalami pecah (breakup), bergabung (coalescence), atau bertumbuh akibat perpindahan massa. Akibatnya distribusi ukuran partikel dalam sistem dapat berubah secara dinamis.
Untuk memodelkan fenomena tersebut secara lebih realistis dalam Computational Fluid Dynamics (CFD), digunakan pendekatan yang dikenal sebagai Population Balance Model (PBM). Model ini digunakan untuk menghitung distribusi ukuran partikel, droplet, atau bubble dalam suatu sistem multifasa.
Dengan menggunakan PBM, simulasi CFD tidak hanya menghitung distribusi fase dalam ruang, tetapi juga memprediksi bagaimana jumlah dan ukuran partikel berubah selama proses berlangsung.
Konsep Dasar Population Balance
Population Balance Model didasarkan pada konsep bahwa suatu sistem dapat memiliki populasi partikel dengan berbagai ukuran. Setiap ukuran partikel dapat berubah seiring waktu akibat berbagai proses fisika.
Proses utama yang mempengaruhi distribusi ukuran partikel antara lain:
-
breakup, yaitu pecahnya partikel menjadi partikel yang lebih kecil
-
coalescence, yaitu penggabungan dua partikel menjadi satu partikel yang lebih besar
-
nucleation, yaitu pembentukan partikel baru
-
growth, yaitu pertumbuhan ukuran partikel akibat perpindahan massa
Model population balance menghitung bagaimana jumlah partikel dalam setiap ukuran berubah akibat proses-proses tersebut.
Fungsi Distribusi Partikel
Dalam population balance, distribusi ukuran partikel biasanya direpresentasikan menggunakan fungsi distribusi partikel.
Fungsi ini menunjukkan jumlah partikel yang memiliki ukuran tertentu dalam suatu volume fluida.
Secara umum, fungsi distribusi ini dapat berubah akibat transport aliran serta proses breakup dan coalescence.
Dengan menyelesaikan persamaan population balance, solver CFD dapat memprediksi bagaimana distribusi ukuran partikel berubah sepanjang domain aliran.
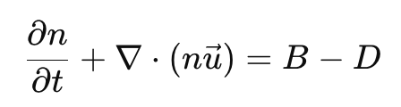
Persamaan Population Balance
Secara umum, persamaan population balance menggambarkan perubahan jumlah partikel akibat transport dan interaksi antar partikel.
Bentuk umum persamaan ini dapat dituliskan sebagai:
di mana:
-
n adalah fungsi distribusi jumlah partikel
-
u adalah kecepatan aliran
-
B adalah laju pembentukan partikel akibat proses seperti coalescence
-
D adalah laju hilangnya partikel akibat proses seperti breakup
Persamaan ini menggambarkan bagaimana jumlah partikel dengan ukuran tertentu berubah akibat transport aliran dan interaksi antar partikel.
Metode Numerik untuk Population Balance
Dalam praktik CFD, persamaan population balance biasanya diselesaikan menggunakan beberapa pendekatan numerik yang berbeda.
Salah satu pendekatan yang umum digunakan adalah discrete method, di mana distribusi ukuran partikel dibagi menjadi beberapa kelas ukuran yang diskrit.
Pendekatan lain adalah moment method, di mana distribusi ukuran partikel direpresentasikan menggunakan beberapa parameter statistik seperti rata-rata ukuran dan variansi ukuran.
Metode lain yang cukup populer adalah quadrature method of moments (QMOM) yang memungkinkan simulasi distribusi ukuran partikel dengan jumlah persamaan yang lebih sedikit.
Pemilihan metode biasanya bergantung pada tingkat detail yang diinginkan dalam simulasi.
Interaksi dengan Model Multiphase
Population Balance Model biasanya dikombinasikan dengan model multiphase lain dalam CFD, seperti:
-
Euler–Euler multiphase model
-
VOF model
-
mixture model
Dalam sistem multiphase seperti bubble column reactor, PBM digunakan untuk menghitung distribusi ukuran gelembung gas dalam cairan.
Dalam simulasi spray, PBM dapat digunakan untuk memprediksi distribusi ukuran droplet setelah proses atomisasi.
Dengan menggabungkan PBM dengan model multiphase, simulasi CFD dapat memberikan gambaran yang lebih realistis mengenai dinamika sistem multiphase.
Aplikasi Population Balance Model
Population Balance Model digunakan dalam berbagai aplikasi teknik yang melibatkan distribusi ukuran partikel atau droplet.
Dalam industri kimia, PBM digunakan untuk menganalisis reaktor gelembung (bubble column reactor) yang melibatkan interaksi gas dan cairan.
Dalam industri energi, model ini digunakan dalam simulasi spray combustion untuk mempelajari distribusi ukuran droplet bahan bakar.
Dalam industri farmasi, PBM digunakan untuk memodelkan proses kristalisasi dan granulasi partikel.
Selain itu, model ini juga digunakan dalam analisis proses emulsifikasi dan atomisasi fluida.
Tantangan dalam Simulasi Population Balance
Simulasi population balance dapat menjadi cukup kompleks karena harus memperhitungkan berbagai mekanisme yang mempengaruhi distribusi ukuran partikel.
Salah satu tantangan utama adalah pemilihan model yang tepat untuk menggambarkan proses breakup dan coalescence.
Selain itu, persamaan population balance sering menambah jumlah persamaan yang harus diselesaikan dalam simulasi CFD, sehingga meningkatkan biaya komputasi.
Karena itu, sering diperlukan pendekatan numerik yang efisien untuk menjaga keseimbangan antara akurasi simulasi dan waktu komputasi.
Kesimpulan
Permodelan Population Balance Model (PBM) dalam CFD digunakan untuk mempelajari distribusi ukuran partikel, droplet, atau bubble dalam sistem multiphase.
Model ini memperhitungkan berbagai proses seperti breakup, coalescence, nucleation, dan growth, yang mempengaruhi jumlah serta ukuran partikel dalam sistem.
Dengan menggabungkan population balance dengan model multiphase dalam CFD, simulasi dapat memberikan gambaran yang lebih realistis mengenai dinamika sistem yang melibatkan partikel atau droplet dengan ukuran yang bervariasi.
Pendekatan ini sangat penting dalam berbagai aplikasi teknik seperti spray combustion, bubble column reactor, proses kristalisasi, serta proses atomisasi fluida.

