Manajemen Maintenance pada Pompa Industri
Secara umum, terdapat beberapa pendekatan dalam manajemen maintenance, yaitu corrective maintenance, preventive maintenance, dan predictive maintenance. Corrective maintenance dilakukan setelah terjadi kerusakan, namun pendekatan ini berisiko tinggi karena dapat menyebabkan penghentian operasi secara tiba-tiba. Preventive maintenance dilakukan secara berkala berdasarkan waktu atau jam operasi, seperti penggantian seal, pelumasan bearing, dan inspeksi impeller. Sementara itu, predictive maintenance memanfaatkan data kondisi aktual pompa, seperti vibrasi, temperatur, dan tekanan, untuk memprediksi potensi kegagalan sebelum terjadi.
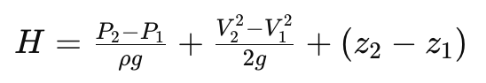
Salah satu parameter penting dalam monitoring performa pompa adalah head dan efisiensi. Head pompa dapat dihitung menggunakan persamaan energi fluida sebagai berikut:
di mana P adalah tekanan, V adalah kecepatan fluida, z adalah elevasi, ρ adalah densitas fluida, dan g adalah percepatan gravitasi. Perubahan nilai head dari kondisi desain dapat menjadi indikasi adanya masalah seperti keausan impeller, fouling, atau kebocoran internal.
Selain itu, efisiensi pompa juga menjadi indikator utama dalam maintenance. Efisiensi dapat dinyatakan sebagai perbandingan antara daya hidrolik dan daya input:
Penurunan efisiensi seiring waktu dapat menunjukkan adanya degradasi komponen atau ketidaksesuaian kondisi operasi dengan desain awal. Oleh karena itu, pemantauan parameter ini secara rutin sangat penting untuk menentukan waktu maintenance yang tepat.
Implementasi manajemen maintenance yang efektif juga melibatkan pencatatan data historis, analisis tren, serta penggunaan sistem monitoring berbasis sensor (condition monitoring system). Dengan adanya data yang terintegrasi, engineer dapat melakukan analisis root cause terhadap kegagalan, serta mengoptimalkan jadwal maintenance agar lebih efisien dan berbasis kondisi aktual.
Dalam praktik modern, pendekatan maintenance semakin berkembang dengan integrasi teknologi digital seperti Internet of Things (IoT) dan machine learning untuk predictive maintenance. Selain itu, penggunaan Computational Fluid Dynamics (CFD) juga semakin luas untuk menganalisis pola aliran di dalam pompa, mengidentifikasi area kritis seperti kavitasi, vorteks, dan recirculation, serta memprediksi potensi kerusakan sebelum terjadi. Seiring meningkatnya kebutuhan akan analisis berbasis simulasi, banyak industri dan engineer mulai mengikuti Training CFD dengan tema pompa, yang membahas pemodelan aliran internal, evaluasi performa, hingga optimasi desain impeller dan casing, sehingga strategi maintenance dapat dilakukan secara lebih presisi, efisien, dan berbasis data.




