Persamaan Euler pada Desain Pompa
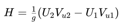
Secara umum, Persamaan Euler untuk pompa dinyatakan sebagai hubungan antara kecepatan sudut impeller dan komponen kecepatan fluida. Bentuk paling umum dari persamaan ini adalah:
di mana H adalah head pompa, U adalah kecepatan tangensial impeller, dan Vu adalah komponen kecepatan fluida dalam arah tangensial (whirl velocity). Subskrip 1 dan 2 masing-masing menunjukkan kondisi di inlet dan outlet impeller. Persamaan ini menunjukkan bahwa energi yang ditransfer ke fluida bergantung pada perubahan momentum sudut antara inlet dan outlet.
Dalam banyak desain pompa sentrifugal, kondisi inlet sering diasumsikan tanpa swirl, sehingga Vu1≈0. Dengan asumsi ini, persamaan menjadi lebih sederhana:
Hal ini menunjukkan bahwa performa pompa sangat dipengaruhi oleh kecepatan ujung impeller dan sudut keluaran fluida dari sudu. Oleh karena itu, desain sudu (blade angle) dan diameter impeller menjadi parameter kritis dalam menentukan head dan efisiensi pompa.
Namun, dalam praktik nyata, terdapat berbagai faktor yang menyebabkan deviasi dari kondisi ideal, seperti losses akibat gesekan, turbulensi, dan fenomena slip pada fluida. Slip factor digunakan untuk mengoreksi perbedaan antara kecepatan fluida aktual dan kecepatan teoritis akibat keterbatasan jumlah sudu. Selain itu, desain casing (volute atau diffuser) juga mempengaruhi konversi energi kinetik menjadi tekanan statis.
Persamaan Euler tidak hanya digunakan untuk menghitung performa, tetapi juga menjadi dasar dalam optimasi desain. Engineer dapat mengatur parameter seperti sudut sudu outlet, jumlah blade, dan diameter impeller untuk mencapai target head dan flow rate tertentu. Selain itu, pemahaman terhadap distribusi kecepatan di dalam pompa membantu dalam menghindari fenomena tidak diinginkan seperti kavitasi dan flow separation.
Dalam perkembangan modern, pendekatan analitik berbasis Persamaan Euler sering dikombinasikan dengan simulasi numerik menggunakan Computational Fluid Dynamics (CFD). Dengan CFD, distribusi tekanan, kecepatan, dan turbulensi di dalam pompa dapat dianalisis secara detail, sehingga desain dapat divalidasi dan dioptimasi lebih akurat sebelum tahap manufaktur.




